A escolha do traçado de uma linha aérea de transmissão de energia elétrica representa uma etapa das mais importantes do planejamento da expansão de um sistema de potência. É nesta ocasião que são agrupados especialistas multidisciplinares no intuito de se buscar um traçado o menos impactante possível para o meio ambiente.
A título de ilustração, na Figura 1, são registradas diversas alternativas analisadas, à luz de uma fotografia obtida por satélite, para o trajeto otimizado da linha de transmissão Recife II – Pau Ferro, da CHESF. O objetivo era evitar ao máximo a passagem sobre as manchas verdes, indicativas da presença da Mata Atlântica.

O resultado dessas análises nem sempre leva ao menor trajeto. Para o caso específico, inclusive, o traçado escolhido foi o mais longo, entretanto, o menos impactante (indicado em lilás claro). Na Figura 2, é registrada foto de situação associada ao desmatamento para construção de uma linha de transmissão, caracterizando o objetivo de se buscar traçado que evite tais distúrbios ao ambiente.

De uma forma geral, os impactos ambientais são agrupados em físico-bióticos e socioeconômicos. No primeiro caso são caracterizados os impactos que direta ou indiretamente trazem dano à fauna e à flora da região atravessada. Já no segundo, são agrupados os impactos que direta ou indiretamente prejudicam as atividades sócio, culturais e econômicas da região. Os tipos de impacto relacionados à linha de transmissão passam a ser resumidos a seguir [1].
IMPACTOS FÍSICO-BIÓTICOS
Nos Quadros 1 e 2, são relacionados os impactos físico-bióticos típicos causados por uma linha aérea de transmissão.
Quadro 1 – Tipos de Impactos Físico-Bióticos Causados por Linha de Transmissão

Quadro 2 – Tipos de Impactos Físico-Bióticos Causados por Linha de Transmissão (Continuação)

IMPACTOS SOCIOECONÔMICOS
Nos quadros 3 e 4, são resumidos os impactos socioeconômicos típicos de uma linha de transmissão.
Quadro 3 – Tipos de Impactos Socioeconômicos Causados por linhas de Transmissão

Quadro 4 – Tipos de Impactos Socioeconômicos Causados por linhas de Transmissão (Continuação)

CUSTOS AMBIENTAIS DE SISTEMAS DE TRANSMISSÃO DE ENERGIA ELÉTRICA
Em estudo realizado, à luz desses impactos ambientais, se procurou estabelecer os custos ambientais de sistemas de transmissão de energia elétrica, quantificando-se os recursos desprendidos para as ações relacionadas a medidas / ações / projetos / programas [1]. Nesses estudos, os custos foram agrupados em:
- compensação – quando é possível a reparação, procurando-se compensar o impacto causado;
- mitigação – procura-se reduzir as suas consequências;
- controle – despendido para se prevenir a ocorrência de impactos;
- monitoramento – acompanhamento e avaliação dos impactos e programas socioambientais;
- institucionais – custos da elaboração dos estudos sócio ambientais requeridos pelo setor elétrico e pelos órgãos ambientais para obtenção das licenças ambientais e para realização de audiências públicas.
A título de exemplificação, esse processo de quantificação foi aplicado ao Sistema de Transmissão de 500 kV Presidente Dutra – Teresina II – Sobral II – Fortaleza II. Os resultados encontram-se ilustrados na Figura 3.

Observa-se que o custo de compensação foi o maior (53%) para o sistema analisado. A de se ressaltar que esses são custos diretos. Não são computados custos indiretos que ocorrem ao longo dos anos, os quais se procura compensar, mas nem sempre são integralizados.
ESTADO DA ARTE RELACIONADO AOS EFEITOS BIOLÓGICOS CAUSADOS POR INSTALAÇÕES DE ALTA TENSÃO
Em meados dos anos 60 e início da década de 70 foram detectados possíveis efeitos adversos à saúde de pessoas atribuídas a campos elétricos [2] [3]. Por outro lado, no final da década de 70 e meados da década de 80 se observou possível aumento do risco de câncer em pessoas associado à exposição a campos magnéticos [4] [5].
Já na década de 90, estudos complementares acusaram que:
- o assunto ainda precisa ser melhor investigado; as pesquisas até então realizadas não permitiam afirmar de forma conclusiva que os campos normalmente produzidos pelas instalações elétricas pudessem ser prejudiciais à saúde das pessoas [6];
- pessoas podem ficar expostas por período de tempo indeterminado, a campos elétricos de 5 kV/m ou campos magnéticos de 0.1 mT (mile-Tesla), sem qualquer problema para a sua saúde [7].
- á luz do conhecimento da época, linhas de alta tensão e campos magnéticos em geral não constituem um problema de saúde pública; a continuação das pesquisas ajudará a determinar se as suspeitas sobre os campos elétricos e magnéticos são justificadas ou não [8].
Observa-se que se procurou estabelecer balizadores numéricos para limites das grandezas elétricas impostas pelas instalações. Em 1998, a ICNIRP (International Commission on Non-Ionizing Radiation Protection) caracterizou as seguintes regiões para estabelecimento desses limites [9]:
- área utilizada por público ocupacional – tradicionalmente acessível a trabalhadores que fazem a manutenção das instalações, devidamente treinados, munidos de equipamentos de proteção individuais (EPI) e com o estado de saúde controlado pela empresa;
- área acessível ao público em geral – área acessível e utilizada pelo público vizinho às instalações.
A ICNIRP publicou as seguintes recomendações para medições feitas a 1,5m do solo:
- campos elétricos
- em área utilizada por público ocupacional – 8,33 kV/m;
- área acessível ao público em geral – 4,16 kV/m;
- campos magnéticos
- em área utilizada por público ocupacional – 333,33 A/m (416,67 µT);
- área acessível ao público em geral – 66,67 A/m (83,33 µT).
A própria ABNT, no caminhar da revisão da NBR-5422, já adiantou os seguintes critérios [10]:
- Sobre TV interferência:
- a relação sinal/ruído, na freqüência de 54 MHz, no limite da faixa de servidão deverá ser no mínimo igual a 42 dB(mV/m) para 50% do período de um ano;
- considera um nível de sinal mínimo de 47 dB(mV/m);
- esse critério corresponde ao grau B de recepção para as faixas baixas de frequência de sinais VHF, sob a condição de chuva forte.
- Sobre rádio interferência:
- a relação sinal/ruído no limite da faixa de servidão deverá ser no mínimo igual a 24 dB para 50% do período de um ano;
- para este cálculo o sinal adotado deverá ser igual ao nível mínimo de sinal na região atravessada pela linha de transmissão, válido para toda a faixa de radiodifusão.
- Sobre ruído audível:
- deve ser, no máximo, igual a 58 dB(A) em qualquer uma das seguintes condições não simultâneas:
- durante chuva fina (0,00148 mm/min);
- durante névoa de 4 (quatro) horas de duração;
- durante os primeiros 15 (quinze) minutos após a ocorrência de chuva.
- deve ser, no máximo, igual a 58 dB(A) em qualquer uma das seguintes condições não simultâneas:
EFEITOS ELETROSTÁTICOS DE UMA LINHA DE TRANSMISSÃO – O EFEITO CORONA
O efeito corona tem implicações diretas com o meio ambiente e com a economia das empresas concessionárias. Surge quando o valor do gradiente de potencial na superfície do condutor excede o valor do gradiente crítico disruptivo do ar. As seguintes condições interferem na manifestação do efeito corona:
- pressão do ar;
- presença do vapor d’água;
- tipo de tensão aplicada;
- fotoionização incidente;
- presença de contaminantes (fonte pontual).
O processo de ionização pelo efeito corona pode ser explicado da seguinte forma: o campo elétrico imposto aos condutores e ferragens acelera elétrons livres na proximidade da linha; esses elétrons, tendo a sua movimentação acelerada, colidem com átomos próximos; nessas circunstâncias, novos elétrons são arrancados desses átomos em um processo chamado “ionização por impacto”; por conseguinte, o desequilíbrio atômico transforma o átomo em um íon, o qual possui um estado de energia mais elevado; essa condição, potencializa o átomo para capturar novo elétron livre, neutralizando o seu estado energético; nesse processo o átomo libera o excesso de energia em forma de calor, luz, energia acústica e radiações eletromagnéticas.
A energia liberada ou irradiada provem do campo elétrico da linha, alimentado pela fonte, implicando em perdas, prejuízos e impactos ambientais, caracterizados por ruído audível (RA), rádio interferência (RA) e interferências em sinais de televisão (TVI). Experimentos realizados apontaram os seguintes níveis de perda em linhas de 500 kV [11]:
- perdas médias anuais: 12 kW/km, em tempo bom;
- perdas máximas anuais: 313 kW/km, sob chuva;
- perdas máximas anuais: 374 kW/km, sob garoa.
Tipicamente, as interferências em sinais de rádio AM são manifestadas pelos condutores no semiciclo positivo do sinal da tensão imposta. Em sinais de rádio FM e de TV são oriundos de pinos ou contrapinos mal ajustados ou soltos. Já as linhas de tensões iguais ou maiores que 500 kV são responsáveis pelos ruídos audíveis [11].
Para entender e quantificar a manifestação do efeito corona, Peek [11] formulou o seu modelo, caracterizando inicialmente que o gradiente disruptivo do ar atmosférico é dado por E0=30.5 kV/cm, na atmosfera padrão de 20 oC e pressão barométrica de 760 mm de Hg, em corrente contínua (CC). Para corrente alternada (CA), esse valor é de 21,6 kV/cm.
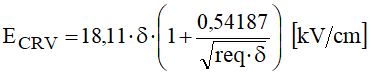
Em seu modelo, Peek caracterizou empiricamente o que denominou de gradiente crítico visual (ECRV), como sendo o gradiente crítico na superfície do condutor que inicia manifestações luminosas do efeito corona. Constatou que o condutor atinge o gradiente crítico visual, quando o gradiente disruptivo é atingido a uma determinada distância da superfície de um condutor de raio “r”. Denominou essa distância de “distância de energia”, dada por:

Através de experimentos laboratoriais, Peek construiu empiricamente a equação para o gradiente crítico visual, que, posteriormente, foi refinada por Miller [11]:


Onde: t – temperatura ambiente em [oC] (temperatura média anual) e b – 760-0,086h em [mmHg], sendo h [m] a altura média local em relação ao nível do mar.
A equação de Miller é válida para condutores cilíndricos, polidos e secos. Para considerar as irregularidades da superfície, a equação deve ser multiplicada pelo parâmetro “m”, denominado “fator de superfície”. Esse parâmetro varia em conformidade com as condições da superfície, conforme registrado na Tabela 1.
Tabela 1 – Valores para o fator de superfície “m” [11]

Conforme pode ser observado, o efeito do fator de superfície sobre o gradiente crítico visual é muito significativo. Para o condutor molhado, por exemplo, a redução do gradiente crítico visual pode chegar a 84%. Na Figura 4, é ilustrado o efeito da presença de gotas d’água na superfície do condutor.

As gotículas são deformadas sob a ação do campo elétrico, formando pontas nas quais o gradiente se torna suficientemente elevado para produzir eflúvios punctiformes, levando ao decréscimo considerável no gradiente crítico visual, conforme já havia sido indicado na Tabela 1. Na Figura 5, os eflúvios punctiformes são ilustrados, os quais seriam ainda mais severos, caso as gotas d’água estivessem presentes.

O efeito corona, portanto, representa um fenômeno que precisa estar devidamente sob controle em uma linha de transmissão de tal forma a se minimizar as suas consequências ambientais e econômicas. O foco principal desse controle está diretamente associado à minimização do gradiente superficial. Nas Figuras 6 e 7 são ilustradas as linhas de campo elétrico que emanam dos condutores. Quanto mais concentradas essas linhas sobre os condutores, maior é o gradiente superficial. Comparando as figuras, é possível verificar que a utilização de mais de um condutor por fase, formando feixes, conduz à redução do gradiente superficial. Essa é uma estratégia comumente utilizada em projetos de linha de extra alta tensão. Em linhas de 500 kV, por exemplo, é usual a aplicação de quatro condutores por fase, pelos motivos expostos.


Técnicas matemáticas e o uso de aplicativos computacionais específicos permitem precisar o gradiente na superfície dos condutores. Na Figura 8, é ilustrada a aplicação do MATLAB [13] para avaliar o gradiente superficial em condutores de feixe geminado de uma linha de 230 kV.

Na Figura 9, através de técnica similar, é avaliado o gradiente ao longo da superfície do condutor (giro de 360 o), para feixes triplos, em dois projetos estruturais distintos de uma linha de 69 kV, comparando com o seu gradiente crítico visual [14].

Observa-se que, para esse critério, o projeto não levaria o condutor a um nível de gradiente que comprometesse a linha na geração do efeito corona, uma vez que os níveis do gradiente superficial aos condutores estão bem inferiores ao gradiente crítico visual esperado.

MÉTODOS PARA CÁLCULO DAS INTERFERÊNCIAS ELETROMAGNÉTICAS
São apresentados, a seguir, métodos para cálculo de interferências eletromagnéticas (RA e RI ) provenientes de linhas de transmissão [15].
Para cálculo do ruído audível (RA):

onde “n” é o número de condutores e DLi é a distância entre o condutor “i” e o ponto de medição, vide Figura 10.

Para cálculo da rádio interferência (RI):

Onde Ei é o gradiente de tensão máximo na superfície do condutor “i” em kV/cm, ri é o raio do condutor ou sub condutor em cm e DLi é a distância do condutor ao ponto de medição em metro, vide Figura 11 para ilustração.

FORMAS DE MINIMIZAÇÃO DOS IMPACTOS ELETROMAGNÉTICOS
Basicamente, os efeitos eletromagnéticos são devidos aos campos elétricos e magnéticos presentes, além das manifestações do efeito corona. Os campos geram impactos que são aferidos normativamente a 1,5 m do solo. Especificações do projeto estão voltadas para o estabelecimento de alturas compatíveis com a classe de tensão da linha e as correntes de carga e de curto-circuito presentes.
As normas técnicas estabelecem restrições e balizamentos para a definição das alturas dos condutores em relação ao solo e a obstáculos presentes sob a linha de transmissão, com o intuito de preservar a segurança das pessoas e instalações. Na Tabela 2, são registradas algumas das restrições estabelecidas em norma [16].
Tabela 2 – Alturas de segurança preconizada por norma técnica [16].

Adicionalmente, a critério da empresa, algumas prescrições adicionais podem ser implementadas pontualmente para minimizar ainda mais eventuais impactos, principalmente na travessia de áreas populosas e em situações onde os efeitos ainda causam incômodos. Nas Figuras 12 e 13 são ilustrados alguns exemplos de aplicações voltadas para minimização dos efeitos eletrostáticos e eletromagnéticos presentes.


No tocante a rádio interferência e ruído audível, foram analisadas algumas alternativas para minimizações pontuais desses efeitos, quais sejam [17]:
- geminação parcial dos condutores (com condutor de mesma bitola ou com tubo de alumínio), e
- encapsulamento metálico dos condutores
Na Figura 14 são apresentadas ilustrações dos resultados obtidos nos estudos, para o padrão estrutural apresentado, onde se observa que a aplicação do encapsulamento é mais efetiva, porém menos prática. A geminação já resolveria muitos dos problemas que venham a surgir.

Algumas outras soluções visam compatibilizar eletromagneticamente a linha com travessias especiais, tais como dutos (aquedutos ou gasodutos). Estudos especiais precisam ser implementados e resultam tradicionalmente na aplicação de aterramentos especiais nas estruturas próximas e na instalação de juntas isolantes nos dutos. A preocupação também envolve os níveis de corrente injetadas no solo por ocasião dos curtos-circuitos monofásicos para a terra [18].
Aplicações tradicionais são também direcionadas para o aterramento e seccionamento de cercas que cruzam ou são paralelas às linhas de transmissão [19].
ASPECTOS ECONÔMICOS DO EFEITO CORONA
A estimativa de perdas por efeito corona representa uma etapa importante do planejamento de uma linha de transmissão, tendo em vista que o atendimento de alguns aspectos técnicos básicos podem representar economias significativas para todo o período de vida útil da instalação.
As formulações existentes procuram separar o período de operação anual da linha em tempo bom e tempo chuvoso. Na primeira condição se subentende condição ambiental sem chuva e, na segunda, é considerada a presença de chuva com diferentes pluviometrias.
A formulação para tempo bom é creditada a Peterson e é baseada na seguinte equação que expressa as perdas (PTB) nesse período [11]:

Onde:
- f[Hz] – frequência do sistema;
- U[kV] – tensão eficaz entre fase e neutro;
- r[cm] – raio externo do condutor;
- Dm[cm] – distância média geométrica entre fases;
- phi – fator experimental que depende da relação:

Esse fator experimental expressa quão o condutor estará estressado eletrostaticamente. Para minimização do efeito corona é desejável que esse fator seja menor que um, em outras palavras, que o gradiente superficial se apresente sempre menor do que o gradiente crítico visual. Nessa relação, a tensão U é a que leva ao gradiente aplicado à linha e U0 representa a tensão que levaria ao gradiente crítico visual no condutor. No gráfico apresentado na Figura 15, o fator “phi” é obtido em função da relação U/U0.

Já a formulação para períodos chuvosos é creditada a Cladé & Gary [11] e é expressa por:

Onde:
K – coeficiente de perdas, obtido pela seguinte expressão:

Sendo:
f [Hz] – frequência do sistema;
r [cm] – raio dos sub condutores;

Rc [cm] – raio do condutor equivalente ao condutor múltiplo;


Pn – Perdas reduzidas em função de um coeficiente de estado da superfície “m” e do gradiente potencial relativo (E/Ec), vide Figuras 16 e 17, lembrando que aqui o Ec é o próprio gradiente crítico visual (ECRV), já mencionado.


Observa-se, portanto, que o planejamento da linha voltado para os aspectos econômicos do efeito corona deve considerar o período sazonal da pluviometria da região, visando expressar o seu comportamento médio. Na Figura 18 é ilustrada a análise típica do comportamento esperado das perdas de uma linha ao longo de um ano.

Portanto, o planejamento para minimização das perdas por efeito corona deve ser enfocada como um processo iterativo, no qual o somatório das perdas anuais esperadas deve ser limitado a patamares pré-estabelecidos. Caso esses patamares sejam superados, devem ser revistas premissas específicos do projeto que reduzam principalmente o gradiente superficial sobre os condutores, podendo implicar no aumento do diâmetro condutor e/ou na geometria do feixe, aumentando-se, inclusive, o número de condutores por fase. A título referencial, linhas bem dimensionadas não devem apresentar perdas por efeito corona maiores do que 2 a 8 [kW/km], para as classes de 230 kV e 500 kV, respectivamente [11].

CONSIDERAÇÕES FINAIS
Neste post, foi possível observar a complexidade inerente ao planejamento, projeto, construção e operação de uma linha de transmissão com o foco centrado em minimizar os seus impactos ambientais. Diversos especialistas e ferramentas de apoio são envolvidos nessa missão de criar e operar uma linha aérea que incorpore os menores distúrbios naturais possíveis. Preservar cada vez mais a natureza é um desafio constante para a humanidade. Uma infinidade de bens de consumo estão sendo incorporados dia a dia, mas nada mais valioso do que uma ambiente sadio: essa é a nossa principal qualidade de vida!
referência bibliográficas
[1] Furtado R. C., Soares F. G., Bezerra J. M. B. and Daconti J. R. “The Incorporation of Environmental Costs Into The Planning of a Power System Interconnection In Brazil”. Bienal CIGRE, Paris, 2002.
[2] Asanova, T.P. and A.M. Rakov – “Health conditions of workers exposed to electrical fields on open switchboard installations of 400-500 kV – Preliminary Report”. Gig. Tr. Prof. Zabol. 10:50-52, 1966).
[3] Korobkova V.P., Morozov M.D. and Yakub Yu. – “Influence of the electric field in 500 and 750 kV switchyards on maintenance staff and means for its protection”, CIGRÉ, Session 1972.
[4] Wertheimer, N. and E. Leeper – “Electrical wiring configurations and childhood cancer”, American Journal of Epidemiology, 1979.
[5] Nordstrom, S., E. Birke and L. Gustavsson – “Reproductive hazards among workers at high voltage substations”, Bioelectromagnetics, 1983.
[6] Working Groups 36.01 and 36.06. CIGRÉ. “Electric power transmission and the environment : fields, noise and interference”. 1993.
[7] Working Groups 36.01 and 36.06. CIGRÉ. “A summary of standards for human exposure to electric and magnetic fields at power frequencies”. 1997.
[8] Side da Hydro-Québec. http://www.hydroquebec.com. 1998.
[9] ICNIRP – International Commission on Non-Ionizing Radiation Protection. “Guidelines for Limiting Exposure to Time Varying Electric, Magnetic and Electromagnetic Fields (up to 300 GHz)”, Vol. 74, No 4. Health Physics. April/1998.
[10] Ata de revisão da NBR-5422, de 02 de julho de 2008.
[11] Fuchs, Rubens Dario, Transmissão de Energia Elétrica, Livros Técnicos e Científicos S. A. Editora EDUFU, UNIVERSIDADE FEDERAL DE UBERLÂNDIA. 2015.
[12] EPRI. Transmission Line Reference Book 345 kV and Above. Electric Power Research Institute.1975.
[13] MATrix LABoratory (MATLAB), Version 14.1, Natick, MA, USA: The MathWorks, Inc., 2006.
[14] Santos A. A. F. “APLICAÇÃO DA TECNOLOGIA LPNE PARA RECAPACITAÇÃO DE LINHAS DE TRANSMISSÃO DA CELPE“. CIDEL. Argentina. 2010.
[15] Kiessling F., Nolasco J. F., Nefzger P. and Kaintzyk U. “Overhead Power Lines: Planning, Design, Construction”, Springer. 2003.
[16] ABNT. Projeto de Linhas Aéreas de Transmissão de Energia Elétrica – Procedimento. NBR-5422. 1986.
[17] Bezerra J. M. B., Medeiros L. H. A., Lopes A. A., Silva T. T., Arcanjo M. A. C., Sabino F. R. and Pessoa L. V. G. “Minimização de Impactos Eletromagnéticos Causados por Linhas de Transmissão”, Revista Eletroevolução, v. 69, p. 18-23, 2012.
[18] SANZ, R.; VERA, O.G.; PINEIRO, J.L.; BRASIL, D.O.C.; FRANCA, A.M.; DACONTI, J.R.; MEDEIROS, J.R.; SOBRAL, S.T. “Induced effects caused by overhead transmission lines on metallic structures”. CIGRÉ, 1990 Session, Paper 36-202.
[19] EDUARDO, J.V. ; Bezerra, J.M.B. . Fences Crossing Transmission Lines, Grounding and Insulating Experience. In: Dobble Congress, 1990, 1990.

Excelente artigo.
CurtirCurtir
Obrigado, José Luís.
CurtirCurtir