Uma linha de transmissão, como visto em posts anteriores, representa eletricamente um circuito de grande extensão. Modelos matemáticos foram introduzidos para retratar precisamente o comportamento deste “longo circuito”. Resolução de equações diferenciais foram necessárias para a construção criteriosa desses modelos.
Na operação dessas linhas, na prática, se procura encontrar modelos mais simples que traduzam o comportamento da linha em seus terminais, com precisão aceitável (erros inferiores a 0,5%). Esse caminho conduz a circuitos equivalentes mais manuseáveis, permitindo, inclusive, incorporá-los em modelos gerais de sistemas de potência e, desta forma, utilizar aplicativos específicos para análise de fluxo de potência e cálculo de curto-circuito ao longo do sistema.
O “circuito” linha de transmissão, por outro lado, incorpora dificuldades operacionais associadas ao comportamento da carga. Em condições de carga leve ou em vazio, a linha tem um comportamento muito capacitivo. Em contrapartida, quando a carga é muito intensa (carga pesada) a linha tem um comportamento dominantemente indutivo.
No primeiro caso, a tensão no terminal receptor tende a se elevar, podendo chegar a valores que podem danificar o isolamento dos equipamentos terminais. No segundo caso, ocorre justamente o oposto, podendo demandar correntes excessivas nos enrolamentos dos motores, levando a desgastes precoces e até a interrupções por sobreaquecimento ou colapso dos elementos isolantes.
Neste contexto, cabe introduzir o conceito de regulação (Reg), o qual está associado à diferença percentual entre as tensões nos dois terminais, sendo regido por (1).

Onde:
- U1 – tensão no lado emissor;
- U2 – tensão no lado receptor.
O valor da regulação depende do regime de carga da linha, podendo ser positivo ou negativo. Pode ser controlado, atuando-se sobre o fator de potência da carga, ou sobre os parâmetros da linha. Usualmente, para não ocorrer os danos nos equipamentos terminais, a regulação deve ser controlada para que não atinja valores absolutos maiores do que 5%.
RELAÇÕES ENTRE TENSÕES E CORRENTES
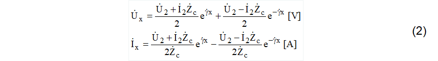
Para construir as relações de interesse, cabe retomar as equações exponenciais obtidas em post anterior, as quais permitem expressar com precisão os valores de tensão e corrente em qualquer ponto “x” da linha, na sua forma fasorial, expressa por (2).

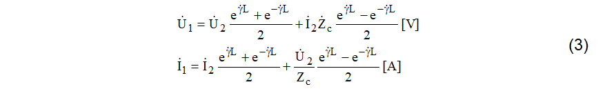
Ao se considerar x=L, tendo o lado receptor como referência, se chega a (3).

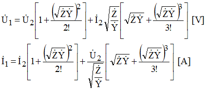
Em funções hiperbólicas (3) pode ser colocada da seguinte forma:

Lembrando que:

Portanto:

Expandindo em séries [1] [2]:

Para uma linha curta, apenas os primeiros termos das séries fornecem aproximação suficiente para se obter representações com erros inferiores ao 0,5% citado. Portanto os termos hiperbólicos podem ser substituídos por:

Nessas condições, substituindo em (3), vem:

Nessa última relação, o segundo termo representa uma corrente (produto de uma tensão por uma admitância), a qual pode ser desprezada, diante da corrente de carga. Essa eliminação pode ser entendida fisicamente como baixos valores de correntes de fuga por efeito corona e de dispersão nas cadeias de isoladores. Essas fugas para uma linha curta são realmente muito baixas. Essa simplificação leva a (4), que rege as relações entre tensão e corrente nos terminais de uma linha curta.

A partir de (4), pode ser construído o circuito equivalente apresentado na Figura 1, o qual representa uma linha curta, ou seja, a partir dele é possível obter (4) e vice-versa.

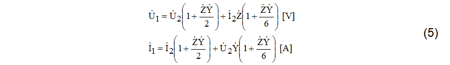
Para uma linha média, apenas os dois primeiros termos das séries já fornecem a aproximação adequada (erros menores do que 0,5%) [1]:

Substituindo esses termos em (3):

Chega-se finalmente a (5), que rege as relações entre tensão e corrente nos terminais de uma linha média.

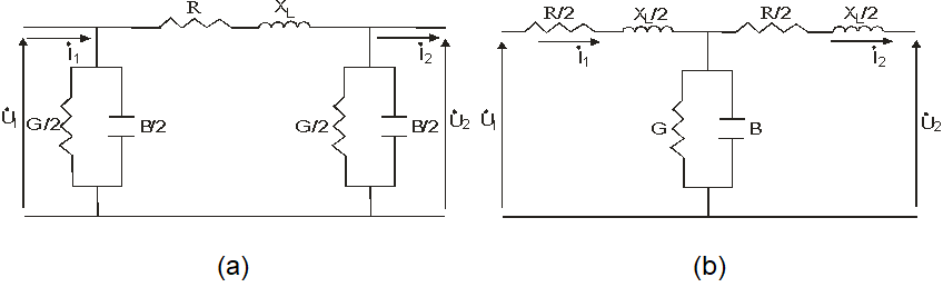
Neste caso, (5) expressa a série truncada que permite obter, com erros inferiores a 0,5%, os valores exatos que seriam obtidos a partir de (3). Para obtenção de um circuito equivalente, surgem dois candidatos o Circuito “Pi” e o circuito “T”, apresentados na Figura 2.

As expressões a seguir traduzem as relações entre tensão e corrente para cada um dos circuitos “candidatos” a representarem uma linha média, procurando reproduzir (5) [1].

Pode ser observado que nenhum dos dois representam integralmente as formulações contidas em (5). O exemplo prático sintetizado na Tabela 1, entretanto, permite observar que ambos apresentam boa precisão, nesta desejada representação [1].

Portanto, qualquer um dos dois circuitos candidatos podem representar uma linha média. De uma forma geral, o circuito “Pi” é preferido, pois o circuito “T” leva ao estabelecimento de mais uma barra por linha de transmissão, em uma representação de um sistema de potência, acarretando em um aumento correspondente no número de equações para solucionar problemas de fluxo de carga [3].
Já para uma linha longa, o circuito “Pi” é escolhido como sua representante [1]. Procura-se introduzir algumas correções que considerem os efeitos do circuito a parâmetros distribuídos que levaram à construção da equação hiperbólica a partir de (3).
Para se obter essas correções, a equação do circuito “Pi” para as tensões passa a ser escrita da seguinte forma:

Comparando com a forma hiperbólica (3), vem:

Resolvendo esse sistema de equações, se chega a:

Que representam os parâmetros “impedância” e admitância” corrigidos para compor o circuito Pi” equivalente pretendido.

A LINHA COMO UM QUADRIPOLO
Ao se enfocar uma linha como um quadripolo, a representação ilustrada na Figura 3 pode ser construída [1] [4].

Matricialmente, as relações entre tensão/corrente de entrada e tensão/corrente de saída são regidas por (6).

Surgem, desta forma as seguintes constantes representativas de uma linha:



Na Tabela 2, são resumidos esses conceitos e constatações, acrescentando-se o indicativo da aplicabilidade de cada um dos modelos equivalentes introduzidos [1].

RELAÇÕES DE POTÊNCIA NO RECEPTOR
A partir das equações do quadriplo “linha de transmissão” é possível escrever:

Definindo-se a tensão no lado receptor como referência de fase, conforme ilustrado na Figura 4, vem:


Tomando o conjugado:

Podendo ser construída (7), que expressa a potência ativa e reativa entregue pela linha de transmissão no terminal receptor.

Raciocínio semelhante pode ser construído para a potência ativa emanada do terminal emissor, levando a (8) [1].


Na Figura 5, são sintetizadas as potências envolvidas, S1=P1+jQ1 e S2=P2+jQ2, na representação da linha como um quadripolo.

Observações importantes [1] [3]:

PERDAS NA TRANSMISSÃO
As formulações construídas paras as potências nos dois terminais da linha permitem expressar as perdas ocorridas na transmissão:

É possível, ainda, introduzir o conceito de rendimento de uma linha de transmissão, traduzido por (9) [1].

Os tipos de perda presentes em uma linha de transmissão são:
- efeito Joule nos condutores;
- perdas nos dielétricos entre condutores;
- correntes de Foucault e histerese magnética, na alma de aço de condutores e em peças metálicas próximas às linhas;
- por circulação de corrente induzida nos cabos para-raios.
COMPENSAÇÃO DE LINHAS DE TRANSMISSÃO
Como comentado, a linha de transmissão é muito sensível à intensidade da carga alimentada. À luz dos conceitos introduzidos, o tema volta a ser aqui enfocado, se buscando construir alternativas tecnológicas direcionadas para compensar as variações de tensão, no terminal receptor. Serão feitas considerações sobre os dois regimes operacionais extremos (carga leve e carga pesada), de tal forma que os ferramentais implementados permitam construir alternativas para limitar as variações de tensão, no intervalo de regulação entre + ou – 5%.
Com o foco na compensação da linha em carga leve, na Figura 6, é ilustrada a variação da tensão terminal, onde o subscrito “0” indica o regime operacional “linha em vazio” e “L” o comprimento da linha. Na Figura 6 (a), a linha estaria sem compensação, o que poderia levar a tensão no terminal receptor, localizado à direita, a valores bastante elevados, a depender de sua extensão. Em (b), a linha foi submetida a compensação (total), fazendo com que a tensão no terminal receptor fique igual à tensão no terminal emissor. A depender do comprimento da linha, a tensão entre os dois terminais pode se situar ainda em valores elevados, podendo comprometer o isolamento da linha. Nesta situação, pode ser necessário o seccionamento da linha e a introdução de compensação, neste ponto central, conforme ilustração feita na Figura 6 (c) [1].

Para construção do processo de compensação em carga leve, na Figura 7 é ilustrada a introdução de equipamento em paralelo, em cada um dos terminais, onde o retângulo possuindo as constantes generalizadas representa o quadripolo da linha e os retângulos nos extremos representam o quadripolo “reator”. A característica elétrica do reator é constituída por condutância e susceptância indutiva, representada pela seguinte expressão [1]:


A relação entre tensões e correntes para a linha compensada seria expressa, portanto, pela seguinte equação matricial:

Nesta expressão, a matiz compensada seria obtida, pré multiplicando e pós multiplicando a matriz que representa o quadripolo linha de transmissão pela matriz que representa o quadripolo reator em paralelo, conforme ilustrado a seguir:

A aplicação dessas formulações permite escrever:

Em carga leve, a corrente é aproximadamente zero, levando a:

A constante “k” recebe o nome de “constante de compensação”. É igual a um para a compensação total, quando as tensões terminais são iguais. As multiplicações matriciais envolvidas e a igualdade entre as partes reais e imaginárias, conduz a (10), a qual permite obter o valor da susceptância indutiva do reator a ser instalado em cada um dos terminais [1].

Onde:

A capacidade do reator seria dada por:

Já para a compensação em carga pesada, a estratégia é a instalação de bancos de capacitores em série com a linha. A montagem desse banco pode ser feita no ponto central da linha ou nos extremos. A segunda alternativa é preferida, dada às vantagens de se contar com infraestrutura necessariamente disponibilizada nos terminais da linha.
Caso, por algum motivo excepcional, se optar pela instalação central desse banco, na Figura 8 é ilustrada a configuração das ligações dos respectivos quadripolos representativos da linha seccionada e do banco de capacitores.

Matriz compensada semelhante à anterior seria construída:

Onde:

Separando as partes reais e imaginárias, e considerando a linha homogênea, as duas partes da linha teria parâmetros iguais, levando a:

Operando e igualando as partes imaginárias, vem:

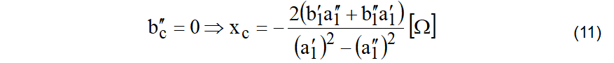
Em se tratando de uma compensação série total a estratégia seria eliminar a queda de tensão devido à corrente de carga, levando a (11) [1].

Neste caso a capacidade do banco a ser instalado seria:

Por outro lado, para uma compensação série nos extremos, na Figura 9 encontra-se ilustrada a nova configuração das ligações dos respectivos quadripolos.

Neste caso, a matriz compensada seria dada por:

Onde:

Substituindo pelas respectivas representações dos parâmetros em suas partes reais e imaginárias, vem:

Operando e igualando as partes imaginárias:

Em se tratando de uma compensação série total a mesma estratégia que levou a (11) seria adotada, conduzindo a (12) [1].

A resolução de (12) levaria a duas possíveis raízes. Deve ser aceita a raiz negativa, uma vez que se trata de uma reatância capacitiva.
A compensação série incorpora os seguintes benefícios para o sistema de potência:

Por outro lado, alguns problemas foram apontados, muitos dos quais já superados através da eletrônica de potência, quais sejam [1]:

As vantagens da compensação série tem levado a que novas linhas na classe de tensão de 500 kV já sejam licitadas, considerando a aplicação da compensação série ora descrita [5].
Dois outros processos de compensação devem ainda ser comentados, os quais levam à variação artificial do comprimento da linha: compensação total (encurtamento) e compensação para meia onda (alongamento).
Na compensação total, se procura utilizar reatores em paralelo e capacitores em série, nos dois terminais da linha, agregando as duas formas integrais de compensação analisadas. Na Figura 10 é ilustrada a montagem elétrica associada a essas condições operacionais.

Para este caso, na Figura 11, se ilustra o diagrama fasorial envolvido, o qual denota um comportamento meramente resistivo da linha.

Em geral não se visa a compensação total. Se objetiva assegurar condições ótimas de funcionamento, tanto sob o ponto de vista da estabilidade, como da regulação de tensões e fluxo de potência ativa.
Para a compensação em meia onda, o foco seria direcionado para linhas longas, as quais já possuam comprimento físico próximo à sua meia onda. Na Figura 12 é feita ilustração dessa condição.

Vale lembrar que o comprimento de onda de uma linha é um parâmetro elétrico definido pela relação entre a velocidade de propagação de ondas de tensão e corrente ao longo da linha e a frequência do sistema:

Para se fazer com que o comprimento da meia onda venha a coincidir com o comprimento físico da linha é necessário propiciar uma redução desse parâmetro elétrico. Isso pode ser obtido através de dois processos: instalação de bancos de capacitores shunt a intervalos regulares, aumentando-se o valor da susceptância capacitiva da linha ou através do aumento tanto dos termos em derivação quanto dos termos em série.
O primeiro processo agrega uma vantagem adicional: aumenta a potência natural da linha. Lembrando:

A aplicação desse processo de compensação, em linhas longas, incorpora dois aspectos importantes: a compensação para carga leve já fica automaticamente assegurada, uma vez que a tensão no terminal receptor fica igual à tensão no terminal emissor; o segundo aspecto está associado a que o perfil de tensão ao longo da linha é reduzido, diminuindo, desta forma, as perdas por efeito corona.

CONSIDERAÇÕES FINAIS
Este post tratou dos aspectos relacionados à construção de modelos simplificados que torne a linha de transmissão mais manejável para estudos de sistema de potência que envolvam análise de fluxo de carga e curtos-circuitos ao longo da linha. É importante frisar que mesmo à luz de computadores cada vez mais ágeis e robustos a escolha do modelo adequado agrega maior confiabilidade às técnicas de resolução desses equacionamentos, evitando se deparar com situações em que o processamento computacional seja interrompido devido à não convergência para a solução final.
Diversas técnicas de compensação das linhas foram também abordadas, as quais visam assegurar a regulação exigida pelos órgãos reguladores. Para as linhas longas a compensação por meia onda incorpora também a redução nas perdas por transmissão, representando uma técnica bastante competitiva. Ao se comparar com a transmissão corrente alternada/meia onda com a transmissão a corrente contínua se observa que, além de representar um sistema mais conhecido tecnologicamente falando, permite a construção de subestações intermediárias, possibilitando o atendimento de diversas cargas ao longo do trajeto [6]. A tecnologia transmissão por meia onda se torna, portanto, uma alternativa mais justa, socialmente e ambientalmente falando.
REFERÊNCIAS BIBLIOGRÁFICAS
[1] Fuchs R. D., Transmissão de Energia Elétrica, Livros Técnicos e Científicos S. A.. Editora EDUFU – Universidade Federal de Uberlândia. 2015.
[2] Stewart J., Cálculo Vol. II, ebook Amazon. 2017.
[3] Elgerd, O I. Electric energy systems theory: an introduction. United States: N. p., 1982.
[4] Johnson D. E. , Hilburn J. L. and Johnson J. R. Fundamentos de Análise de Circuitos Elétricos. 4a Edição. LTC. 1993.
[5] aneel.gov.br/transmissao4(abrir em uma nova aba)
[6] Fernandes J. H. M., Araújo M. C., Nolasco J. F., Da Silva P. R. R. L., Peixoto R. G., Machado V. G., Takai M. N. Eletronorte and the challenge of long-distance transmission in Brazil. CIGRE SESSION. Paris. 2008.

Prezado Professor José MaurÃcio.
Bom dia.
Agradeço por compartilhar o artigo em comento.
Atenciosamente.
Eduardo Alexandre Matos de Brito
SUPERINTENDENTE
SUPERINTENDÃNCIA DE IMPLANTAÃÃO DE EMPREENDIMENTOS – SEE
Telefone: +55 (81) 3229-2827,+55 (81) 3229-3140
Hicom: 622-2827,622-3140
E-mail: ematos@chesf.gov.br
http://www.chesf.gov.br
[cid:image001.png@01D6F88C.51983DD0]
AVISO
Esta mensagem é destinada exclusivamente à (s) pessoa(s) indicada(s) como destinatário(s), podendo conter informações confidenciais protegidas por lei. A transmissão incorreta da mensagem não acarreta a perda de sua confidencialidade. Caso esta mensagem tenha sido recebida por engano, solicitamos que seja devolvida ao rementente e apagada imediatamente de seu sistema. à vedado a qualquer pessoa que não seja destinatário usar, revelar, distribuir ou copiar, ainda que parcialmente, esta mensagem.
CurtirCurtir
Obrigado, Eduardo! Fico satisfeito por compartilhar essas informações no mundo acadêmico e industrial. É uma forma de me manter ligado a esse maravilhoso universo.
CurtirCurtir
Excelentes trabalhos que podem , perfeitamente, virem a contribuir para recapacitação de sistemas de transmissão postergando novos investimentos nesses momentos de dificuldades econômicas.
CurtirCurtir
Obrigado, Isso, pelos comentários. Cim certeza o terreno é muito vasto.
CurtirCurtir